梦幻西游手游百科首页 > 玩家攻略 > 攻略 > 成长 > 升级经验表 50-77每级所需经验表

升级经验表 50-77每级所需经验表

目录

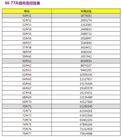
  从不删档到公测再到如今,梦幻西游手游已经走了两个多月。目前,最高级的玩家来自于安卓一区-再续前缘“帝天澈”76级。至于升到76级需要多少经验,特别是打算停69级的玩家更需要知道攒够多少经验才能一口气升到80级。今天,小编就给大伙带来50-77级每级间升级所需的经验值,希望能给到不管是停69的玩家,还是正在新区冲级的玩家一点提示。

  50-60级一共需要28497462,约为2849万经验。

  60-70级一共需要186217007,约为1亿8621万经验。

  70-77级一共需要467732622,约为4亿6773万经验。

  从50-77级一共需要682447091,约为6亿8244万经验。

  相信不少小伙伴跟小编一样看完这个表顿时惊呆了。当小编以为60升70级已经算是很难很辛苦,拿知道原来70升80级更加恐怖。根据70-77级的升级经验规律,小编预计77-80级还需要3亿经验。也就是说70-80级需要接近10亿经验。

  奋斗吧,青年!满级100级等着你们去冲。


相关资料

推荐攻略

文章配图图集

关闭